Rabu, 25 Januari 2023

PASAR PERSAINGAN SEMPURNA

 


Persaingan sempurna akan terjadi jika produsen-produsen secara individual di pasar tidak bisa mempengaruhi harga. Para produsen tersebut bertindak hanya sebagai penerima harga (price taker). Ketiadaan pengaruh terhadap harga tersebut memerlukan syarat-syarat sebagai berikut. 

1. Jumlah pembeli dan penjual banyak Setiap perusahaan dalam suatu industri kecil hanya menghasilkan suatu bagian yang sangat kecil dibandingkan jumlah output industri secara keseluruhan dan setiap pembeli hanya membeli suatu bagian yang sangat kecil pula dari output total tersebut. 

2. Produk yang homogen Output dari masing-masing perusahaan persis sama dengan output perusahaan-perusahaan lainnya dalam industri tersebut. 

3. Bebas keluar-masuk pasar Perusahaan-perusahaan tidak dihambat untuk memasuki atau keluar dari industri tersebut. 

4. Penyebaran informasi yang sempurna Informasi mengenai biaya, harga dan kualitas diketahui oleh semua pembeli dan penjual di pasar. 

Keempat syarat pokok ini, yang diperlukan untuk adanya struktur pasar persaingan sempurna, sangat membatasi persaingan sempurna untuk lahir di dalam dunia nyata. Walaupun pertukaran-pertukaran komoditi mendekati syarat-syarat tersebut, ketidaksempurnaan tetap akan terjadi di situ. Meskipun demikian, untuk beberapa perusahaan, keputusan-keputusan penentuan harga harus dibuat dalam keadaan di mana mereka tidak punya kendali sama sekali atas harga dan karena itu suatu penelaahan terhadap struktur pasar persaingan sempurna akan memberikan pandangan pemikiran dalam membuat keputusan penentuan harga dalam kasus seperti ini. Lebih penting lagi, suatu pemahaman yang jelas mengenai persaingan sempurna akan memberikan suatu referensi pokok bagi kita untuk menganalisis struktur-struktur pasar lainnya seperti oligopoli dan persaingan monopolistik.

A. Permintaan Pasar dan Perusahaan

Perusahaan adalah sebagai pengambil harga, yaitu sebuah perusahaan tidak mempunyai kekuasaan untuk menentukan harga. Interaksi seluruh produsen dan seluruh pembeli di pasar yang akan menentukan harga pasar dan seorang produsen hanya menerima saja harga yang sudah ditentukan tersebut. Hal ini menunjukkan seberapa banyak pun barang yang diproduksikan dan dijual oleh produsen, ia tidak dapat mengubah harga yang telah ditentukan pasar, karena jumlah yang diproduksikan hanya sebagian kecil saja dari jumlah yang diperjualbelikan di pasar. Pada pasar persaingan sempurna harga pasar cenderung stabil, sehingga bentuk kurva permintaan dan penawaran pada pasar sempurna berupa garis lurus mendatar sejajar dengan sumbu jumlah barang (OQ). Berapa pun jumlah barang yang dibeli atau yang ditawarkan tidak akan menaikkan atau menurunkan harga barang. Dan kurva tersebut juga merupakan kurva pendapatan rata-rata atau AR (Average Revenue) dan pendapatan marginal atau MR (Marginal Revenue). Marilah kita pehatikan perbedaan kurve permintaan bagi seorang konsumen dan seorang produsen. Dilihat dari kacamata seorang produsen permintaan konsumen merupakan sumber pendapatan, uang yang dikeluarkan oleh konsumen merupakan pendapatan bagi seorang produsen. Jadi kurve permintaan konsumen merupakan kurva pendapatan produsen. Besarnya pendapatan produsen tergantung dari jumlah barang yang dijual dan berapa harga barang yang dijual, secara ringkas pendapatan pengusaha sebagai berikut : 

TR = P . Q 
Dimana TR adalah total revenue 
Dari rumusan diatas kita dapat menyimpulkan bahwa tingginya harga menceminkan tingginya pendapatan rata-rata produsen. 
AR = TR / Q 
AR = ( P . Q ) / Q 
AR = P 
Secara grafik hubungan antara permintaan konsumen dan pendapatan rata-rata produsen dapat dilukiskan dengan kurva berikut ini.


Pada harga OPe, jumlah barang yang diminta oleh konsumen sebesar OQe, sehingga pendapatan produsen sebesar : 
TR = Pe . Qe 
Pendapatan per satuan barang adalah : 
AR = Pe 
Kesamaan AR = Pe ini berlaku pada setiap harga dan kuantitas barang yang dijual, akibatnya setiap titik pada kurva permintaan mencerminkan tingginya pendapatan rata-rata produsen. 
Hubungan antara TR, AR dan MR adalah sebagai berikut : 
TR = P . Q 
AR = TR / Q = ( P . Q ) / Q = P 
MR = ∂ TR / ∂ Q = ∂ ( P . Q ) / ∂Q = P 
Sehingga P = AR = MR 

MR adalah Marginal Revenue (pendapatan marginal) dapat didefinisikan sebagai tambahan pendapatan total yang diterima produsen akibat tambahan penjualan dengan satu-satuan barang. Untuk mudah memahami TR, AR dan MR marilah kita perhatikan ilustrasi dibawah ini.


B. Ekuilibrium Usaha

Harga keseimbangan adalah harga pasar yang terbentuk karena adanya keseimbangan antara permintaan dan penawaran. Artinya harga yang ditawarkan sesuai dengan harga permintaan atau jumlah yang ditawarkan sama dengan jumlah yang dibeli. Untuk dapat memahami hubungan antara keseimbangan pasar dengan keseimbangan usaha dalam pasar persaingan sempurna marilah kita kaji gambar dibawah ini.


Kedudukan keseimbangan di pasar persaingan sempurna ditunjukan dalam gambar diatas, dimana keseimbangan tercermin dari perpotongan permintaan dengan biaya marginalnya. Ada bebrapa hal yang harus diperhatikan dalam menentukan kedudukan keseimbangan di pasar persaingan sempurna apakah kita harus beroperasi di titik A atau di titik B. Untuk menjawab pertanyaan tersebut, marilah kita gunakan proses optimalisasi.

TR = f (P . Q) dan TC = g (Q)
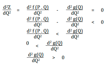
Proses optimalisasi dapat ditulis berdasarkan definisi keuntungan sebagai berikut : Maksimumkan Z = f (P . Q) - ( TC – g(Q)) 
Syarat primer yang harus dipenuhi untuk memaximumkan adalah turunan dari Z harus 0.


P=MC
Oleh karena P = D = AR = MR maka kesamaan tersebut dapat kita tuliskan kembali MR = MC. Syarat untuk menjamin bahwa persamaan diatas adalah kasus maksimalisasi maka dibutuhkan syarat skunder, yaitu :

 




1 komentar:

METODE PENGHITUNGAN PENDAPATAN NASIONAL

Pendekatan Produksi (Production Approach) Penghitungan pendapatan nasional dengan pendapatan produksi adalah dengan menghitung jumlah produk...